Here is a detailed solution of Problem 46 as discussed in class on Wednesday and Friday, 6,8 October.

As a review for the role played by complext numbers in Chapter 3, here is a derivation of the trig identity needed so solve the problem.

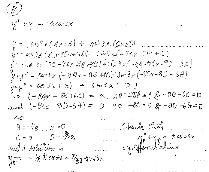
Here is a general discussion of the method of undetermined coefficients as it applies to problems like this one.

And here is an application of this method not involving so-called "duplication", while yonder is a memorable example of how "duplication" gets in the way, and how to fix it.