Your TA checked the homework for Friday, 8oct, and graded three of the ten problems. Here are the solutions to Section 3.5 Problem 40 and Problem 54 and Problem 58 .

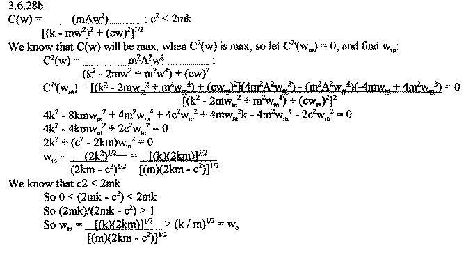
Here are the solutions to the homework continued to 8oct. You grader provided the following solutions in addition to the one already posted. Section 3.5 Problem 24 and Problem 28a and also Problem 28b .