This document, located at http://new.math.uiuc.edu/math280, was last edited 18mar98 gfrancis@uiuc.edu

The first page this week discusses the solution to problem 1 on the midterm.

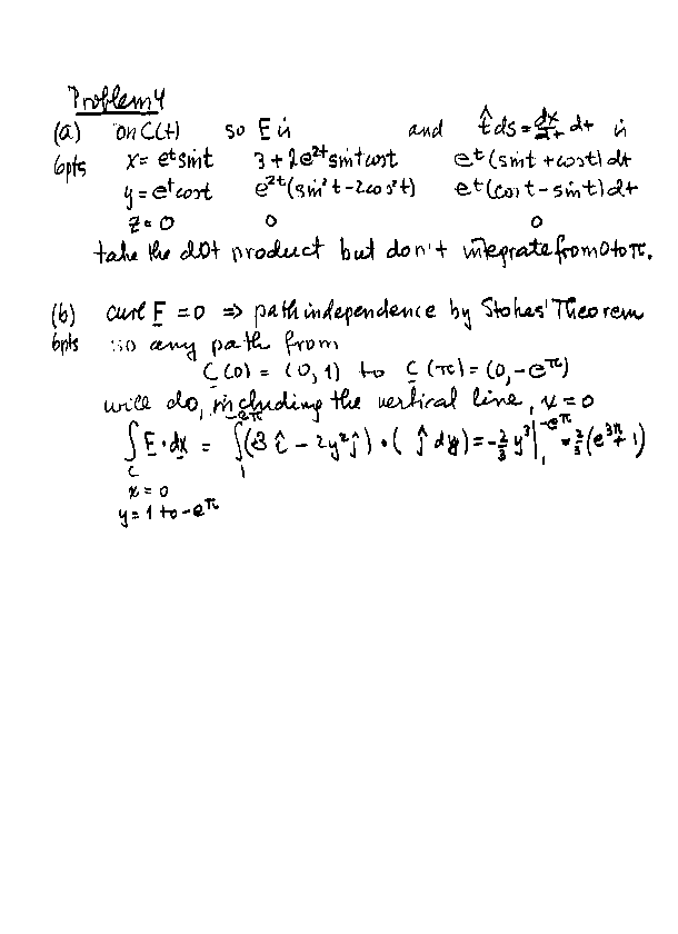
Problem 4 is discussed on the next page.

I discussed the solutions to problems 2 and 3 on Monday, 16mar98. For Problem 2a, 3pts went for a correct formula, the other 3 for adequate documentation. For 2b I accepted any example where the Theorem really did make things easier to calculate. So a description of some application of the Theorem was not enough to gain full 6 points.

Problem 3 computed \pi in two different ways.

On your tests there are three scores. The first is the raw number of points (out of 50) you made on the midterm. Please check that all the partial credit was added up correctly. The second score is an advisory "curved" score normalized to 85 plus/minus 8 (the standard deviation.) The third score is the sum of scores on the quizzes and the midterm. The quizzes and midterm add to 100. The statistics on this cumulative score is 73 +/- 9.8, so add 12 to compare that to match the 85+10 curve.

G.Francis