This document, located at http://new.math.uiuc.edu/math280, was last edited 28jan98 gfrancis@uiuc.edu
Solutions to Schey I-1..6.

Problem(I-6a). 
Here is a practical way of seeing how dy/dx = F_y/F_x describes the 
field lines of the vector field F = F_x i + F_y j. 

Let X = ix + jy denote the position vector of point in the plane where F is defined. Let dX = idx +jdy denote the displacement (change in position.)

A displacement along a field line is, by definition of a field line, parallel to the vector field. Since the cross product F \x dX measures the area of the parallelogram spanned by the two vectors (as well as the sense of rotatating F into dX), it vanishes along the field lines. Therefore, a displacement along the field lines must satisfy:

0 = F \cross dX = F_x dy - F_y dx , which is what we had to show.

Note 1. When typing math, sub/super scripts are conveniently denoted by the underscore and the caret. Mathematical symbols are announced by a backslash.

Note 2. In electrostatics we talk of a vector field and its field lines. In dynamics the field lines of the velocity vector field are called flowlines. There is a small difference between directed and undirected flow lines, to be discussed later.

Note 3. Do not confuse this with a similar equation for displacements ACROSS the field. For these we use the dot procuct.

0 = F \dot dX = F_x dx + F_y dy.

For example, if F is the gradient of a potential function, u(x,y), then

0 = du(x,y) = (du/dx) dx + (du/dy) dy = grad u \dot dX

says that the isocline curves (where u=const) are PERPENDICULAR to the gradient field.

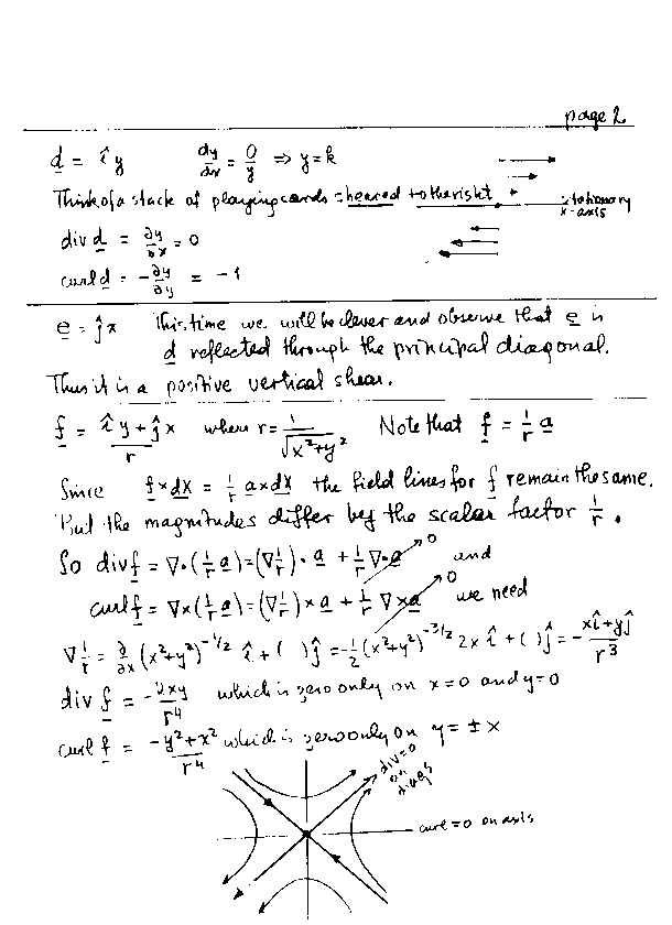
Problem (I-6b) and (I-1) plus div and curl.

As pointed out in class on Monday, it is useful to compute the divergence and curl of the vector fields discussed in problem I at the same time as we are sketching their field lines. Recall that to compute these you take a symbolic dot and cross product of the \nabla symbol and the field:

div F = \nabla \dot  F

curl F = \nabla \cross F = (dF_x/dy - dF_y/dx)k + i (...) + j (...)

When F is two-dimensional, the curl has only a k component. The geometrical interpretation of div and curl is the underlying purpose of this exercises.

Here are some scanned in solutions with pictures. On page1 are the 3 fields, a,b,c, that have zero curl and zero divergence. On page2 are fields d,e,f and g together with Problem I-4 are on page3. We will discuss any further questions on these problems on Friday, followed by a 10 minute quiz on a problem like I-1/6 with additional questions about its curl and gradient.

Note 4. On the solution sheets we used these two formulas for computing

 

div(fF) = grad(f) \. F + f div(F)

curl(fF)= grad(f)\x F + f curl(F)

where f is a scalar, which depends on position just as the vector field F does. As I mentioned in class on Wednesday, you can either verify it by differentiating, or wait until we give a geometrical argument for them. You can memorize them, or remember how to reproduce them this way. Let D denote an unspecified derivative, div, grad, curl, and * an unspecified product, scalar, dot and cross. Write
 
D(f*F)= (Df)*F + f*(DF) 
1 2 3 4 5 6 7
and start interpreting what each symbol must be from the evidence.

For 1=div and 2= scalar multiplication, the result must be a scalar. Hence 3=grad to make Df a vector, and 4=dot to make the result a scalar. 5=+ has to be explained later. Since 6 is a scalar product, DF must be a scalar, so 7=div.

For 1=curl we must have a vector on both sides of =. So 3=grad, 4=cross, 6=+ and 7=curl so that everybody is a vector.

We will develop such mnemonics for more complicated stuff in this course. G.Francis